ПРОИЗВОДНЫЕ
1) y = ctg^2x ;
2) y = (1-tg2x) / (tg2x);
3) y = arccos2/x * x
4) y = arcctg((2x / (1-x^2)) ;
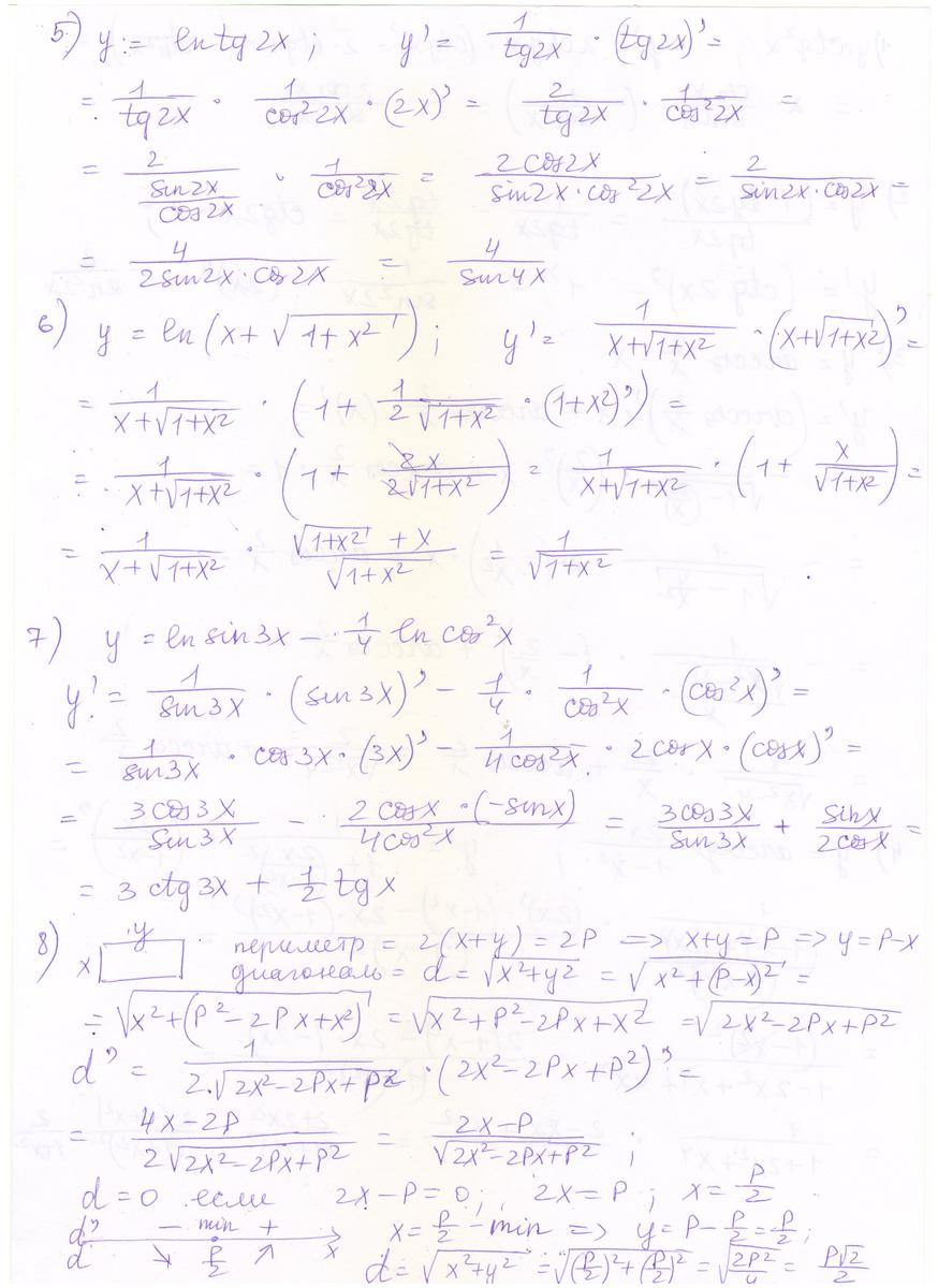
5) y = lntg2x
6) y = ln(x + sqrt(1+x^2))
7) y = lnsin3x - 1/4 *lncos^2x
8) Из всех прямоугольников данного периметра 2P, найдите то, у которого диагональ наименьшая.
9) Число 8 разбейте на 2 слагаемых так, чтобы сумма их кубов была наименьшей.
Ответы
Ответ дал:
0
смотри приложенный файл
Приложения:



Вас заинтересует
2 года назад
2 года назад
7 лет назад
7 лет назад
10 лет назад
10 лет назад
10 лет назад