• Предмет: Алгебра
  • Автор: Freedom077
  • Вопрос задан 10 лет назад

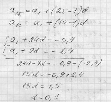
#6. не понимаю как решить. помогите пожалуйста:) а25= -0,9

Приложения:

Ответы

Ответ дал: математик2011
0
Надеюсь, что всё понятно!!!
Приложения:
Ответ дал: Аноним
0
скидываю файл, смотри))
Приложения:
Ответ дал: Freedom077
0
угу
Ответ дал: Аноним
0
так и поняла)
Ответ дал: Аноним
0
у меня они проходят прогрессии и геометрич и арифм
Ответ дал: Freedom077
0
нельзя игнорировать задания, вдруг на огэ попадется подобное
Ответ дал: Аноним
0
да, это точно, молодец
Вас заинтересует