• Предмет: Математика
  • Автор: VeranikaCoooos
  • Вопрос задан 10 лет назад

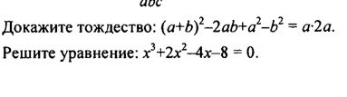
Помогите!!!!!!
(2x-7)(49+14+4x ....

Приложения:

Ответа на этот вопрос пока нет. Попробуйте найти его через форму поиска.

Вас заинтересует