Ответы
Ответ дал:
0
Ответы на фотографии ниже
Приложения:
Ответ дал:
0
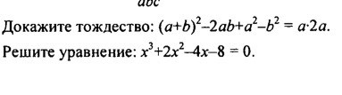
х³+2х²-4х-8 = 0
(х³+2х²) - (4х -8)=0
х²(х+2) - 4(х+2)=0
(х²-4)(х+2)=0
х²-4=0
х+2=0
х₁°₂ = ∵2
х³= -2
(х³+2х²) - (4х -8)=0
х²(х+2) - 4(х+2)=0
(х²-4)(х+2)=0
х²-4=0
х+2=0
х₁°₂ = ∵2
х³= -2
Приложения:
Вас заинтересует
3 года назад
3 года назад
8 лет назад
10 лет назад
10 лет назад
11 лет назад