Ответы
Ответ дал:
0
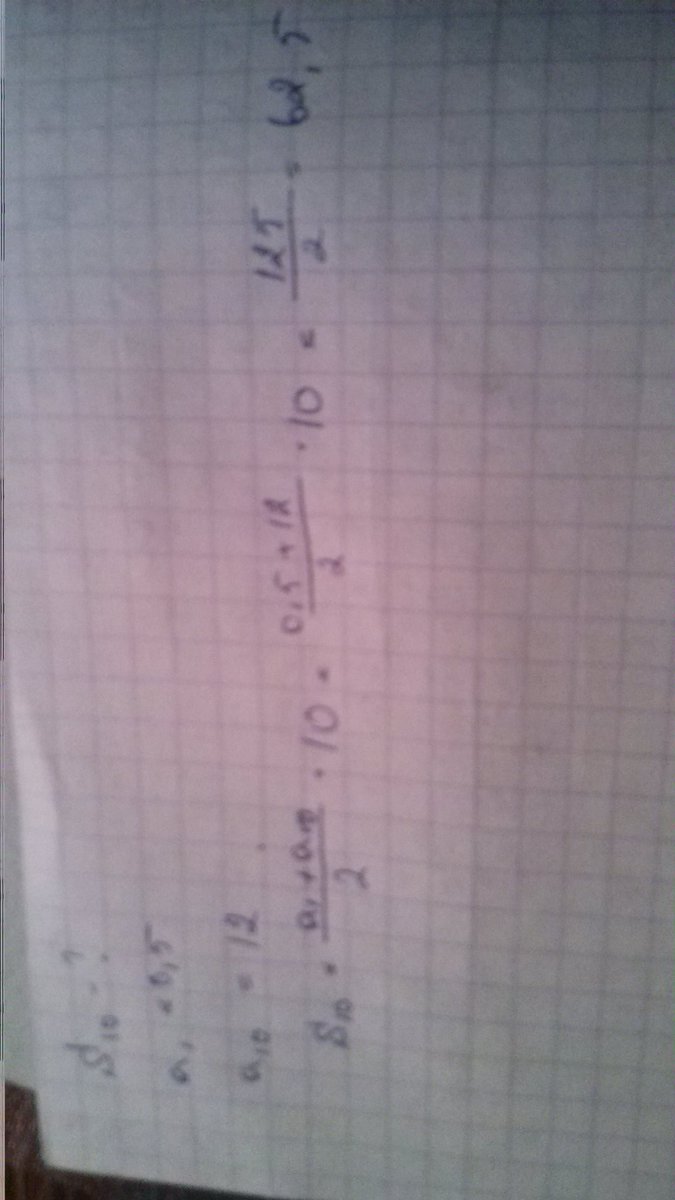
S10=0.5+12 черта деления, делим на 2 и это все умножаем на 10=62.5
найди формулу Sn = a1+an все деленное на 2 и умноженное на n
удачи:3
найди формулу Sn = a1+an все деленное на 2 и умноженное на n
удачи:3
Ответ дал:
0
_________________________
Приложения:

Вас заинтересует
2 года назад
7 лет назад
10 лет назад
10 лет назад
10 лет назад