• Предмет: Физика
  • Автор: TanyaFelton
  • Вопрос задан 11 лет назад

Пожалуйста, помогите решить задачи по физике.

 

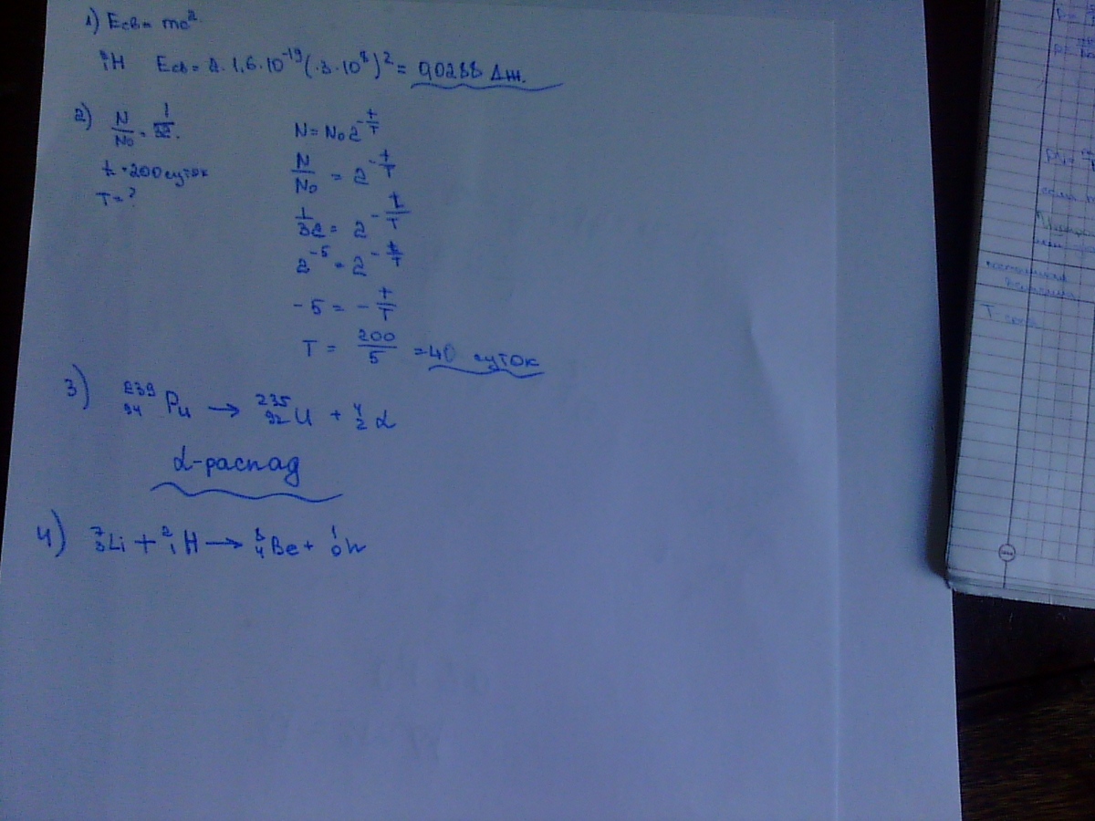
1. Вычислить энергию связи ядра дейтерия 2 H 1.

2. Активность радиоактивного элемента уменьшилась в 32 раза за 200 суток. Найти период полураспада.

3. В результате какого радиоактивного распада плутоний 239 Pu 94 превращается в уран 235 U 92?

4. Дописать ядерную реакцию и вычислить энергетический выход этой реакции в эВ и Дж.

7 Li 3 + ? --> 8 Be 4 + 1 n 0

Ответы

Ответ дал: Vanillka
0

!!!!!!!!!!!!!!!!!!!!!!!!!!!!!!!!!!!!!!!!!!!!!!!!!!!!!!!!!!!!!!!!!!!!!

Приложения:
Вас заинтересует