30 БАЛЛОВ! СРОЧНО! Найти значение выражения. Решите пожалуйста все подробно. Желательно на листочке, но не обязательно.
Приложения:

Ответы
Ответ дал:
0
ответ:
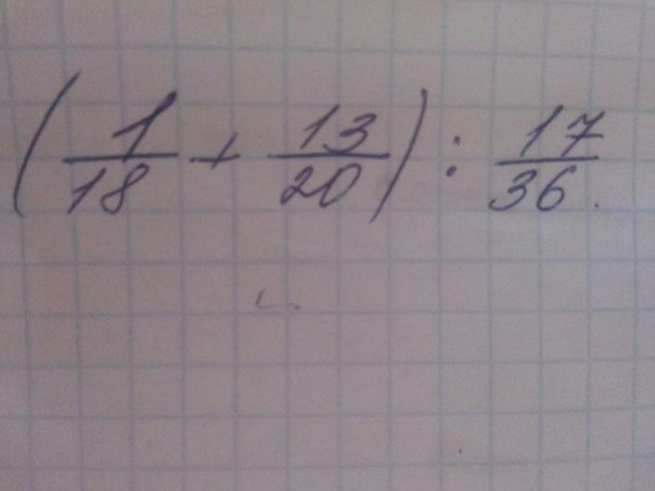
в скобках 127/180
127/180: 17/36=1 целая 42/85
в скобках 127/180
127/180: 17/36=1 целая 42/85
Ответ дал:
0
приравниваем к общему знаменателю
Ответ дал:
0
и умножаем числитель
Ответ дал:
0
ща ща погодь
Ответ дал:
0
все спасибо тебе огромное!!
Ответ дал:
0
а как отметить ответ как лучший?
Вас заинтересует
2 года назад
2 года назад
7 лет назад
7 лет назад
10 лет назад
10 лет назад