• Предмет: Математика
  • Автор: mmr12
  • Вопрос задан 10 лет назад

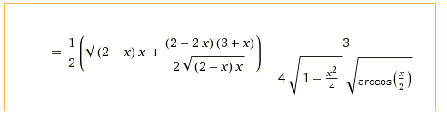
y=(3+х)/2 * (х(2-ч))^1/2 + 3 arccos(х/2)^1/2 производная

Ответы

Ответ дал: Архангел0Михаил
0
ответ внизу, на картинке..............................
Приложения:
Вас заинтересует