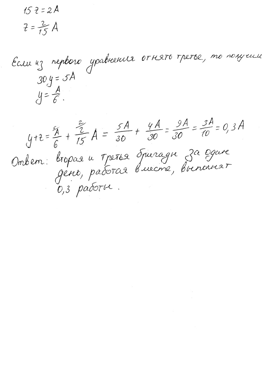
три бригады,работая вместе,могут выполнить всю работу за 3 дня.Эту же работу первая и вторая бригады, работая вместе выполнят за 5 дней , первая и третья бригады -за 6 дней . Какую часть всей работы вторая и третья бригады , работая вместе , выполнят за 1 день? Срочно помогите
Ответы
Ответ дал:
0
Решение в приложении.
Приложения:
Вас заинтересует
2 года назад
2 года назад
8 лет назад
8 лет назад
10 лет назад
10 лет назад
10 лет назад