• Предмет: Алгебра
  • Автор: 55555homa
  • Вопрос задан 10 лет назад

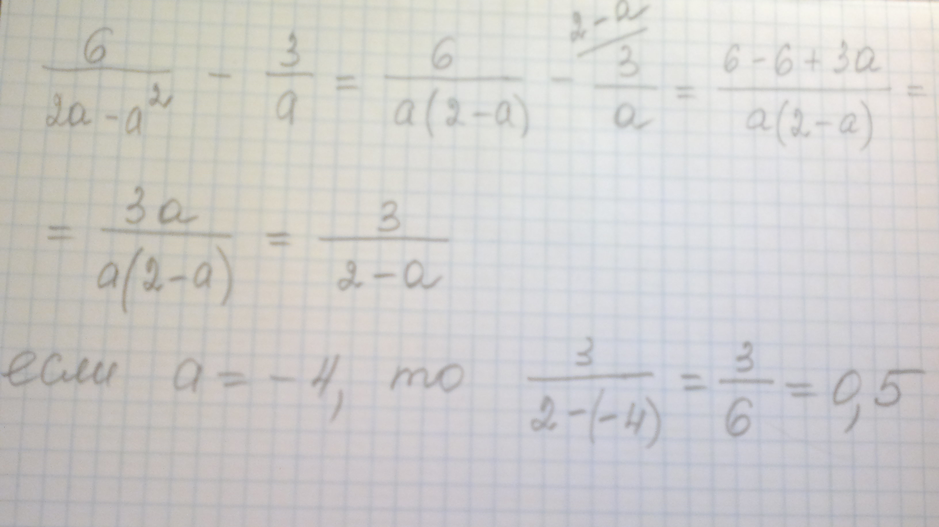
6/(2a-a^2)-3/a. a= -4. Найдите значение выражения.

Ответы

Ответ дал: ytekjdbvsq
0
Пишите, если что не так.
Приложения:
Вас заинтересует