Ответы
Ответ дал:
0
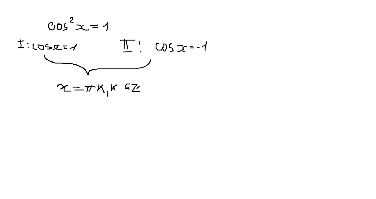
Получится вот так :)
Приложения:

Ответ дал:
0
Типа корень из 1 находим
Ответ дал:
0
Да
Ответ дал:
0
ну там получается тогда два решения, 2piK и pi+2piK
Ответ дал:
0
А я объединила их в одно
Вас заинтересует
2 года назад
2 года назад
7 лет назад
7 лет назад
10 лет назад
10 лет назад