Ответы
                                            Ответ дал: 
                                                                                    
                                        
                                            
                                                
                                                
                                                
                                                    0
                                                
                                            
                                        
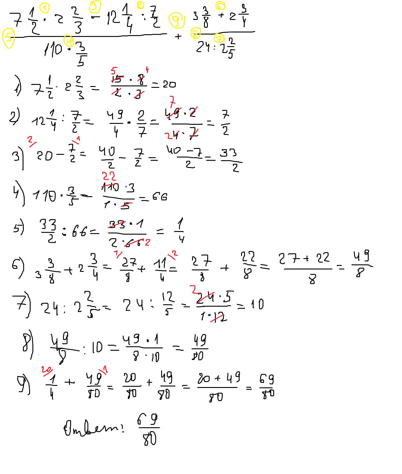
                                    7 1/2*2 2/3 =15/2*8/3=20
12 1/4 : 7/2 = 49/4: 2/7 =7/2=3 1/2=3,5
20-3,5=16,5
110/1*3/5=66
16,5:66=0,25
3 3/8+2 3/4 = 3 3/8+ 2 6/8 =5 9/8 =6 1/8(6,125)
24:2 2/5= 24 : 2,4 = 10
6,125:10=0,6125
0,25+0,6125=0,8625
                                            Ответ дал: 
                                                                                    
                                        
                                            
                                                
                                                
                                                
                                                    0
                                                
                                            
                                        
                                    а мое точнее и понятнее)))а еще я считаю ЛУЧШЕЕ)))плиз)))
Приложения:
                     
                            Вас заинтересует
                
                        2 года назад
                    
                
                        2 года назад
                    
                
                        10 лет назад
                    
                