Ответы
Ответ дал:
0
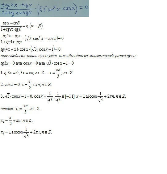
решение во вложении----------------------------------------
Приложения:

Ответ дал:
0
Спасибо
Вас заинтересует
2 года назад
2 года назад
7 лет назад
7 лет назад
10 лет назад
10 лет назад
10 лет назад