Ответы
Ответ дал:
0
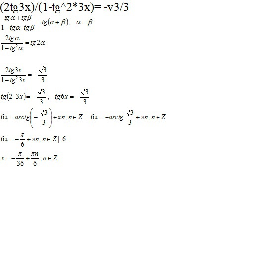
решение во вложении---------------------
Приложения:

Ответ дал:
0
Вы супер
Ответ дал:
0
спасибо
Вас заинтересует
2 года назад
2 года назад
7 лет назад
7 лет назад
10 лет назад
10 лет назад
10 лет назад