Срочно! Даю 18 баллов!
Приведите дроби к общему знаменателю:
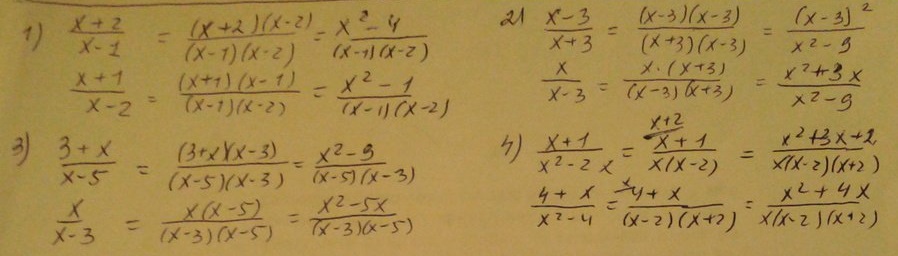
1) x+2/x-1 u x+1/x-2
2) x-3/x+3 u x/x-3
3) 3+x/x-5 u x/x-3
4) x+1/x^2-2x u 4+x/x^2-4
Ответы
Ответ дал:
0
Вот, пожалуйста!:З Вообщем там все посмотришь.
Приложения:

Ответ дал:
0
Спасибо огромное!))
Вас заинтересует
2 года назад
2 года назад
7 лет назад
7 лет назад
10 лет назад
10 лет назад