Ответы
Ответ дал:
0
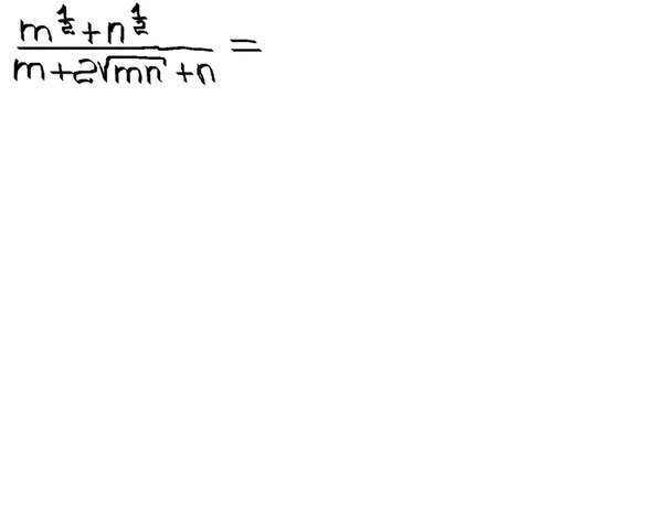
В знаменателе формула квадрата суммы, т.е.
m+2*корень(m*n)+n=(корень m+ корень n)^ 2
А корень m и n - это m и n в степени 1/2
Поэтому мы сокращаем с числителем и в итоге получаем:
1/корень m+ корень n
m+2*корень(m*n)+n=(корень m+ корень n)^ 2
А корень m и n - это m и n в степени 1/2
Поэтому мы сокращаем с числителем и в итоге получаем:
1/корень m+ корень n
Вас заинтересует
3 года назад
3 года назад
8 лет назад
8 лет назад
10 лет назад
10 лет назад
11 лет назад