Ответы
Ответ дал:
0
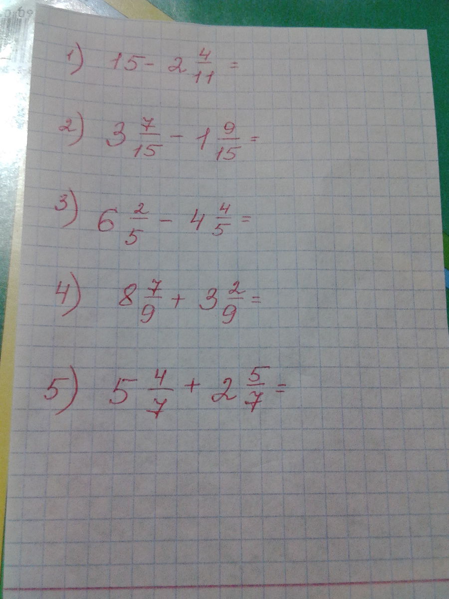
1)15-2 4/11=14 11/11-2 4/11=12 7/11
2)3 7/15-1 9/15=2 22/15-1 9/15=1 13/15
3)6 2/5-4 4/5=5 7/5-4 4/5=1 3/5
4)8 7/9+3 2/9=11 9/9=12
5)5 4/7+2 5/7=10 9/7=11 2/7
2)3 7/15-1 9/15=2 22/15-1 9/15=1 13/15
3)6 2/5-4 4/5=5 7/5-4 4/5=1 3/5
4)8 7/9+3 2/9=11 9/9=12
5)5 4/7+2 5/7=10 9/7=11 2/7
Вас заинтересует
3 года назад
8 лет назад
8 лет назад
10 лет назад
10 лет назад
10 лет назад