• Предмет: Алгебра
  • Автор: МаРиЯ1
  • Вопрос задан 11 лет назад

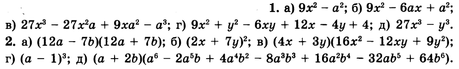
Алгебра 7 класс Формулы Сокращенного Умножения .Задания внутри . Нужно подробное !!!! решение

Приложения:

Ответы

Ответ дал: Димарик17
0

Думаю все поймешь но настчет 1 (д) неуверен

Приложения:
Вас заинтересует