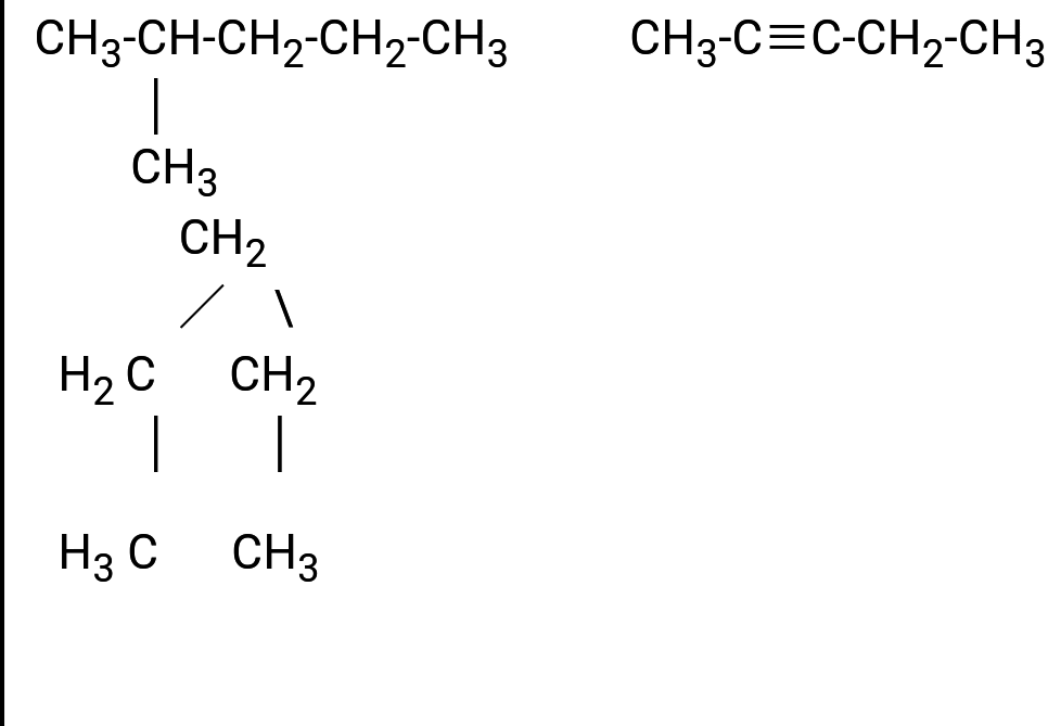
среди приведенных формул веществ определить число предельных углеводородов. С решением пожалуйста.!!.
Приложения:
Ответы
Ответ дал:
0
первое и третье вещества - предельные углеводороды. Так как нигде нет двойных и тройных связей. Значит таких веществ - 2.
Вас заинтересует
2 года назад
8 лет назад
8 лет назад
10 лет назад
10 лет назад
10 лет назад