Ответы
Ответ дал:
0
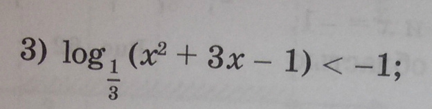
{x²+3x-1>0
{x²+3x-1>(1/3)⁻¹
{x²+3x-1>0
{x²+3x-1>3
Достаточно решить только второе неравенство:
x²+3x-1>3
x²+3x-1-3>0
x²+3x-4>0
D=9+16=25
x₁=(-3-5)/2= -4
x₂=(-3+5)/2=1
+ - +
--------- -4 -------------- 1 -----------
\\\\\\ \\\\\\\
x∈(-∞; -4)U(1; +∞)
{x²+3x-1>(1/3)⁻¹
{x²+3x-1>0
{x²+3x-1>3
Достаточно решить только второе неравенство:
x²+3x-1>3
x²+3x-1-3>0
x²+3x-4>0
D=9+16=25
x₁=(-3-5)/2= -4
x₂=(-3+5)/2=1
+ - +
--------- -4 -------------- 1 -----------
\\\\\\ \\\\\\\
x∈(-∞; -4)U(1; +∞)
Ответ дал:
0
можете помочь http://znanija.com/task/17164670
Вас заинтересует
3 года назад
8 лет назад
8 лет назад
10 лет назад