• Предмет: Алгебра
  • Автор: Димарик17
  • Вопрос задан 11 лет назад

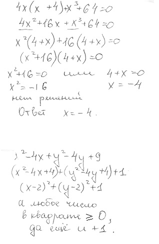
Формулы сокращенного умножения 7 класс . 2 задания Внутри

Приложения:

Ответы

Ответ дал: Ellenochka
0

____________________________________________

Приложения:
Ответ дал: МаРиЯ1
0

Согласна с Еленой правда объединение по другому делаю) а  вот как решать 1 незнаю

Приложения:
Вас заинтересует