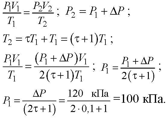
при уменьшении объема газа в 4 раза, давление увеличилось на 100 кПа и абсолютная температура возросла на 20 %. каким было первоначальное давление?
Ответы
Ответ дал:
0
Смотри вложения
Ответ: P1 = 100 кПа
ууудддааачииии)))
Приложения:


Ответ дал:
0
удачи тебе))) поблагодори плиз(((
Приложения:


Вас заинтересует
2 года назад
2 года назад
10 лет назад
10 лет назад
10 лет назад