• Предмет: Алгебра
  • Автор: yyyyyy77878
  • Вопрос задан 10 лет назад

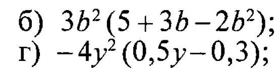
1 задание упростите выражение

Приложения:

Ответы

Ответ дал: dinaraisroilova
0
б) 3b^2 (5+3b-2b^2)=15b^2 + 9b^3 - 6b^4
в) -4y^2 (0,5y-0,3)=1,2y^2 - 2y^3
Вас заинтересует