Ответы
Ответ дал:
0
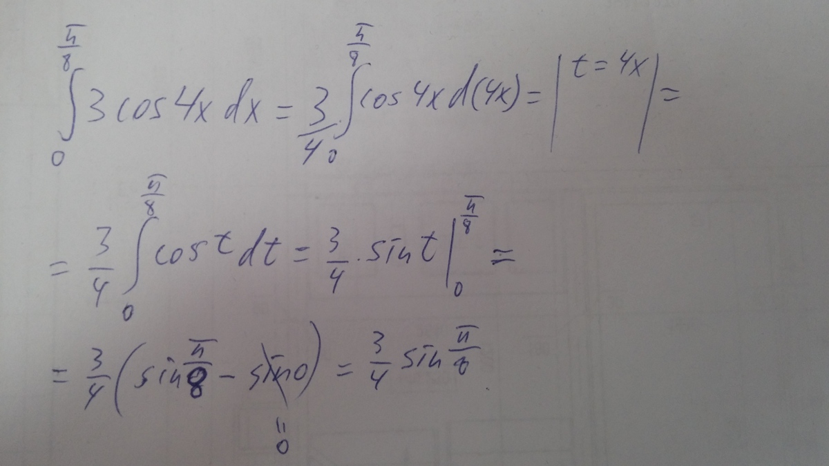
Держи, синус п/8 сам посчитаешь
Приложения:

Ответ дал:
0
а как там считать?
Ответ дал:
0
как вычислить sin(pi/8) я уже не помню)) посмотри в учебнике, там полюбому есть
Ответ дал:
0
каркулятор показывает что это все равно нулю
Ответ дал:
0
ну значит зашибись! тогда ответ в итоге 3/4 походу
Вас заинтересует
2 года назад
7 лет назад
10 лет назад
10 лет назад
10 лет назад