Задание по теме приближенное вычисление.
Формула: 
Задание. Используя формулу, вычислите:
Приложения:
Ответы
Ответ дал:
0
просто все в формуле записать для конкретной данной функции))
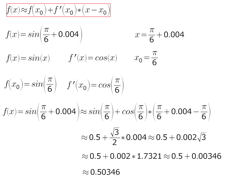
очевидно, что функция sin(x)
понятно, что х = (пи/6)+0.004
и тоже очевидно, что в качестве х0 выберем (пи/6)
осталось все подставить в формулу (на свои места)))
очевидно, что функция sin(x)
понятно, что х = (пи/6)+0.004
и тоже очевидно, что в качестве х0 выберем (пи/6)
осталось все подставить в формулу (на свои места)))
Приложения:
Ответ дал:
0
Гениально просто :)
Ответ дал:
0
так это формула такая... а за внимание спасибо)))
Вас заинтересует
3 года назад
3 года назад
8 лет назад
8 лет назад
10 лет назад
11 лет назад