• Предмет: Алгебра
  • Автор: сколково
  • Вопрос задан 10 лет назад

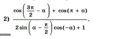
Упростите выражение. Напишите подробное решение!

Приложения:

Ответы

Ответ дал: Grell1Sutcliff
0
(-cos(a) - sin(a))/1 - 2*cos^2 (a)
Вас заинтересует