• Предмет: Алгебра
  • Автор: a2l2i2n2a2
  • Вопрос задан 10 лет назад

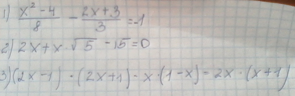
Помогите пожалуйста решить !

Приложения:

Ответа на этот вопрос пока нет. Попробуйте найти его через форму поиска.

Вас заинтересует