• Предмет: Геометрия
  • Автор: gulnazgurova
  • Вопрос задан 10 лет назад

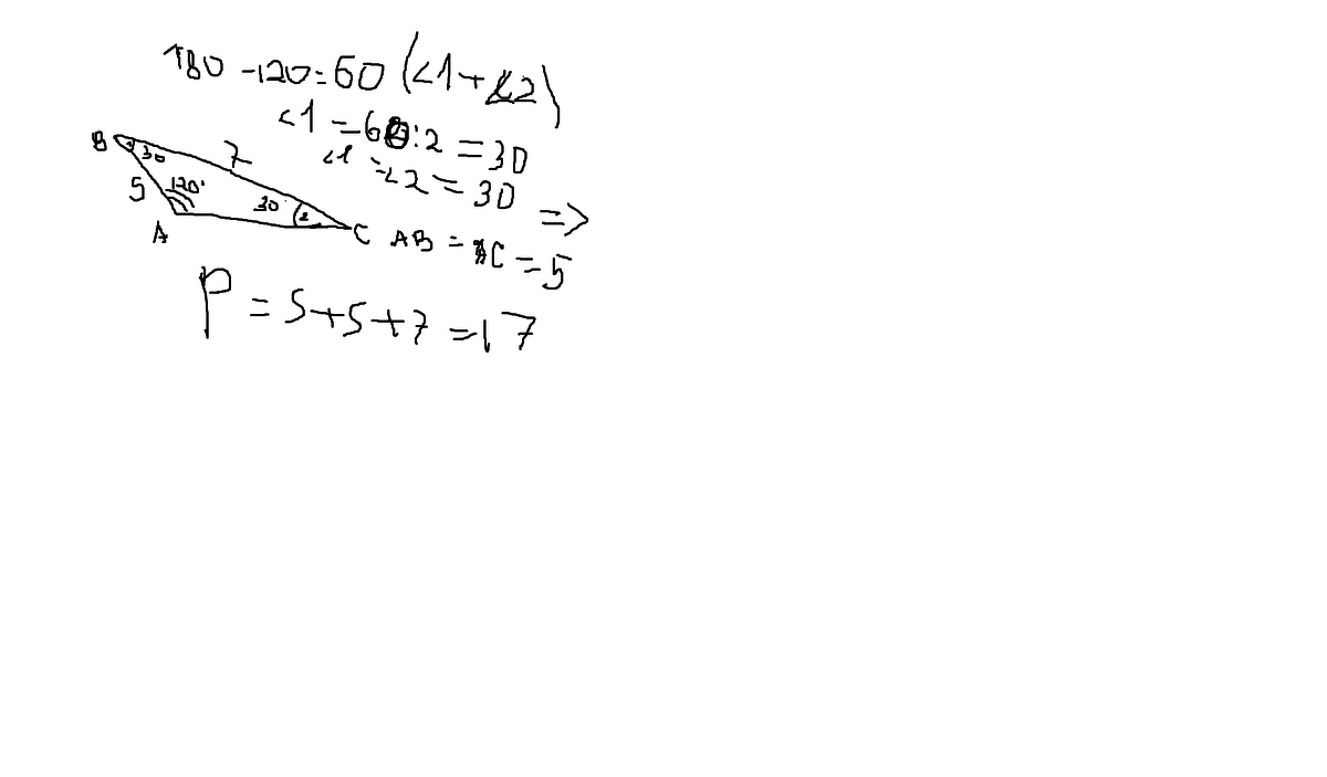
один из углов треуголника равен 120 градусов, две стороны равны 5 и 7. найти периметр треугольника

Ответы

Ответ дал: zimalove
0
смотри ответ в фотографии

Приложения:
Ответ дал: gulnazgurova
0
но ответ другой
Вас заинтересует