Даю много баллов
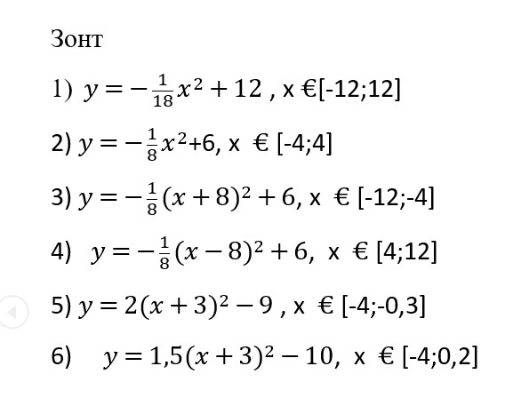
По формулам в Excel построить зонт

Приложения:

Ответа на этот вопрос пока нет. Попробуйте найти его через форму поиска.

Вас заинтересует