• Предмет: Математика
  • Автор: Samsonova147
  • Вопрос задан 10 лет назад

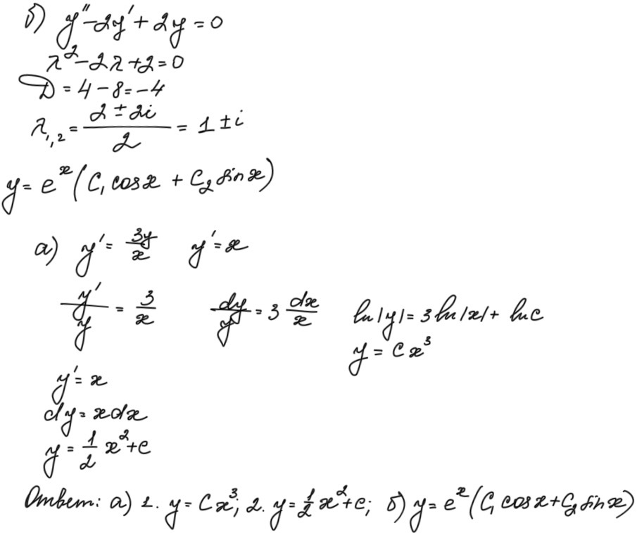
Найти общее решение:
а) линейных дифференциальных уравнений
y'=(3y)/x=x
б) линейных однородных дифференциальных уравнений второго порядка
y''-2y'+2y=0

Ответы

Ответ дал: IgMike
0
Решение находится во вложенном файле
Приложения:
Вас заинтересует