Алгебра 8 класс , задача номер 5.120 помогите . Надо решить уравнение
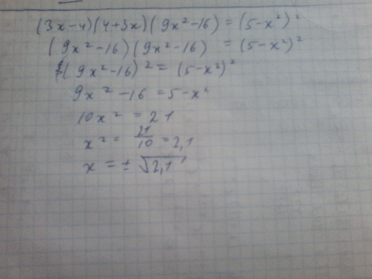
(3x-4)(4+3x)(9x²-16)=(5-x²)²
Ответы
Ответ дал:
0
Получится вот так :)
Приложения:
Вас заинтересует
3 года назад
3 года назад
8 лет назад
8 лет назад
10 лет назад
10 лет назад
11 лет назад