Ответы
Ответ дал:
0
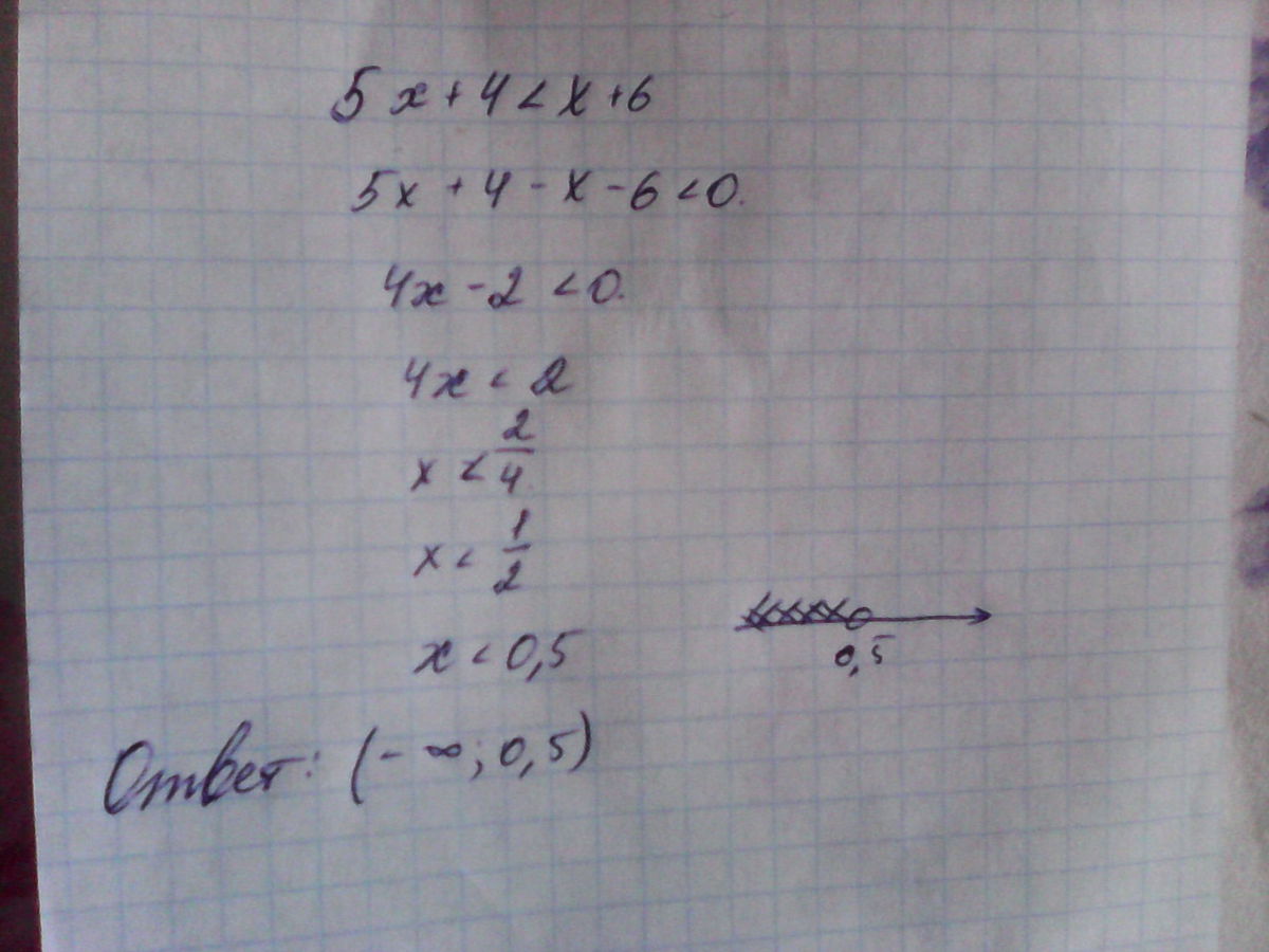
5x+4<x+6
Это обычное линейное неравенство
Решается так как показано ниже на фото в приложении к ответу!
Это обычное линейное неравенство
Решается так как показано ниже на фото в приложении к ответу!
Приложения:

Ответ дал:
0
Спасибо большое.
Вас заинтересует
2 года назад
2 года назад
7 лет назад
7 лет назад