• Предмет: Алгебра
  • Автор: Bogemasuper
  • Вопрос задан 11 лет назад

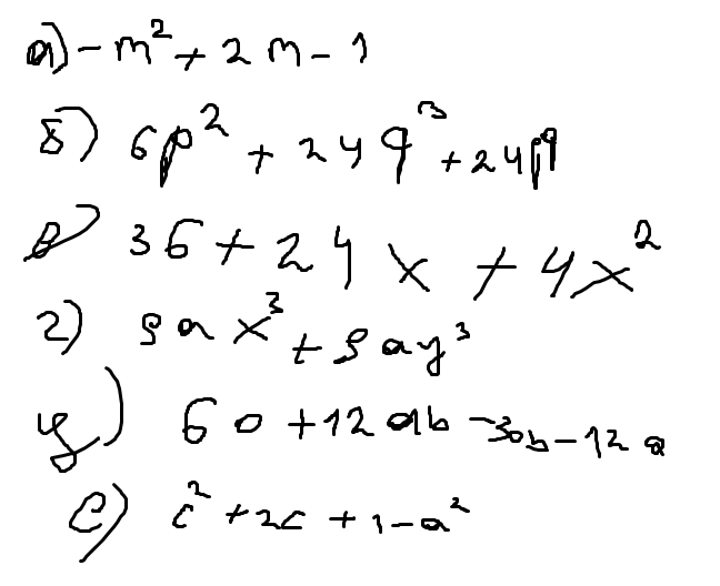
Кто может объяснить разложение на множители алгебра  7 класс, никак не могу понять вообще(( Вот задания например. Напишите объясняя как это делать

 

Приложения:

Ответы

Ответ дал: kefa
0

чтобы разложить на множители, ужно пользоваться разными способами:

вынесени еобщего множителя за сокбки, например:

9a+9b=9(a+b)

знать форумлу разности квадратов

(a-b)(a+b)=a^2-b^2 например 81-36=9^2- 6^2=(9+6)(9-6)=15*3=45

формулы квадрата суммы и разности:

a^2-2ab+b^2=(a-b)^2

a^2+2ab+b^2=(a+b)^2

например:

25а^2+15ас+9с^2=(5a+3c)^2

формулу разности и суммы кубов, формулу куба суммы и разности и так далее. а еще можно некторые одночлены многочлена "разлаживать" на сумму. вот например решим первый

-m^2+2m-1=-m^2+m+m-1=m(-m+1)-(1-m)=m(1-m)-1*(1-m)=(m-1)(1-m).

 

И самое главное - группировать: то есть выносит поочередно общий множитель за скобку

Вас заинтересует