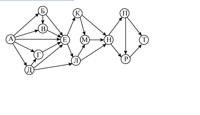
На рисунке изображена схема дорог, связывающих города А, Б, В, Г, Д, Е, К,Л, М, Н, П, Р, Т. По каждой дороге можно двигаться только в одном
направлении, указанном стрелкой.
Сколько существует различных путей из города А в город Т?
Приложения:

Ответа на этот вопрос пока нет. Попробуйте найти его через форму поиска.
Вас заинтересует
2 года назад
2 года назад
7 лет назад
7 лет назад
10 лет назад