• Предмет: Алгебра
  • Автор: svyatoylord
  • Вопрос задан 10 лет назад

Даю 50 баллов за полное решение номера 776.

Приложения:

Ответы

Ответ дал: ghostmorozhenka
0
здесь нужно сначало находить общий множитель,(под дробью крч,и уравнять),потом решить,и если получится через дискриминант найти корни
Ответ дал: svyatoylord
0
Тебе надо 50 баллов? Элементарно? Сделай! Когда мне надо сделать за пару часов все, приходится выкладывать вопросы с ЭЛЕМЕНТАРНЫМИ заданиями.
Ответ дал: ghostmorozhenka
0
Чет ты злой(((
Ответ дал: svyatoylord
0
Я не знаю парень ты или девушка, но рили. Узнать что вам что-то задавали в последний день каникул. Да еще и задали по всем предметам почти... Это очень сложно. Приходится раскошеливаться)))
Ответ дал: svyatoylord
0
Блин, чувак, если хочешь, то дам больше, но дай решение, а не алгоритм)
Ответ дал: shinodaholic
0
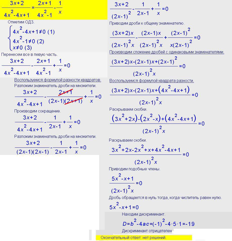
Все решения 776 номера на фото:
Приложения:
Вас заинтересует