Ответы
Ответ дал:
0
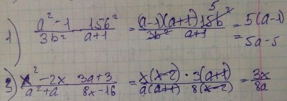
В 1 ответ=-15
А во 2=-9/40,или по другому -0,225
А вот над 3 надо подумать...Если я додумаюсь,отправлю тебе решение
Надеюсь верно;)
А во 2=-9/40,или по другому -0,225
А вот над 3 надо подумать...Если я додумаюсь,отправлю тебе решение
Надеюсь верно;)
Приложения:
Вас заинтересует
3 года назад
3 года назад
8 лет назад
8 лет назад
10 лет назад
11 лет назад