• Предмет: Алгебра
  • Автор: 8Ви8ка8
  • Вопрос задан 10 лет назад

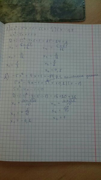
Разложите на множители квадратный трехчлен 1)6x^2-5x+1
2)-5x^2+4x+1

Ответы

Ответ дал: subotka666
0
ответ во вложении!...
Приложения:
Вас заинтересует