Ответы
Ответ дал:
0
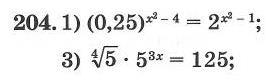
3)5 в степени 1/4 +3х=5 в степени 3
1+12х=3 =>х=1/6
1)0,25=0,5в степени 2 = (1/2) в степени 2 = 2 в степени (-2)
2 в степени (-2 (х*2-4))=2 в степени (х*2-1)
х*2-1= -2х*2 +8
3х*2-9=0 => х=плюс-минус корень из 3
1+12х=3 =>х=1/6
1)0,25=0,5в степени 2 = (1/2) в степени 2 = 2 в степени (-2)
2 в степени (-2 (х*2-4))=2 в степени (х*2-1)
х*2-1= -2х*2 +8
3х*2-9=0 => х=плюс-минус корень из 3
Ответ дал:
0
3) 1/4+3х = 3 => 1+12х=12 => х=11/12
Ответ дал:
0
Спасибо
Вас заинтересует
2 года назад
8 лет назад
10 лет назад
10 лет назад