Ответы
Ответ дал:
0
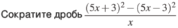
Сначала раскрыть скобки:
(25x²+30x+9-25x²+30x-9)/x
Противоположные сокращаются:
60x/x=60
(25x²+30x+9-25x²+30x-9)/x
Противоположные сокращаются:
60x/x=60
Вас заинтересует
2 года назад
2 года назад
8 лет назад
8 лет назад
10 лет назад
10 лет назад