• Предмет: Математика
  • Автор: Leryua
  • Вопрос задан 10 лет назад

Помогите решить уравнение, пожалуйста!

Приложения:

Ответы

Ответ дал: иЗНеОткуда
0
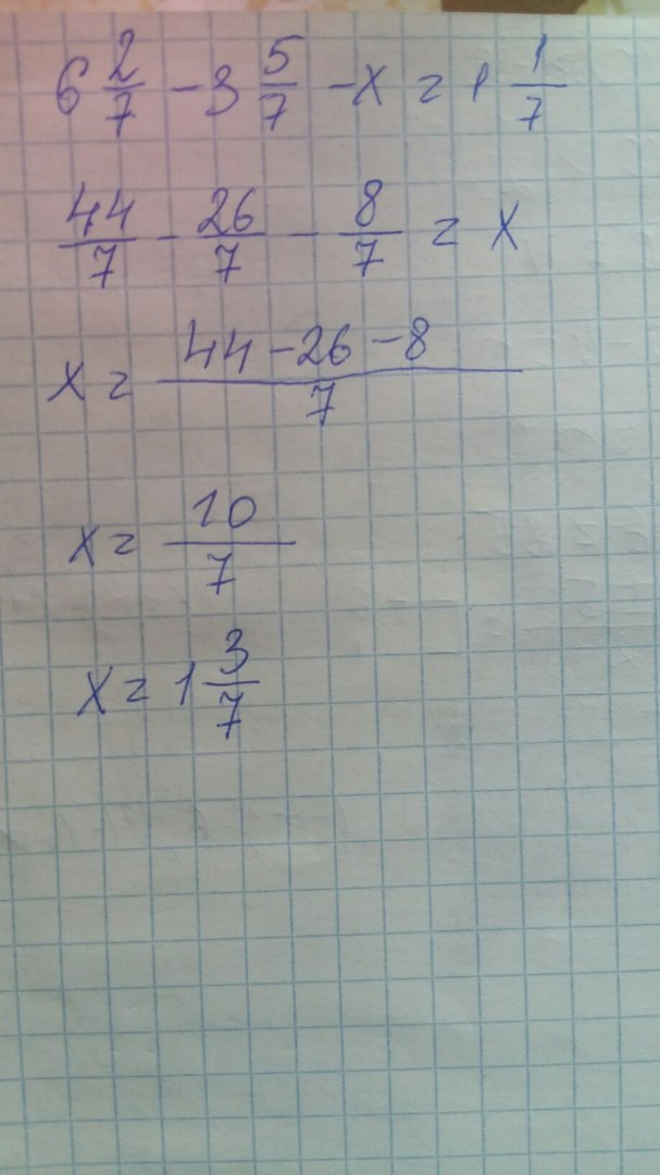
1 целая 3 седьмых равен Х

Ответ дал: Leryua
0
спасибо
Ответ дал: Arisha49
0
получается как то так
Приложения:
Ответ дал: Leryua
0
спасибо
Ответ дал: Leryua
0
почерк очень красивый. *-*
Вас заинтересует