• Предмет: Математика
  • Автор: кошечка55
  • Вопрос задан 11 лет назад

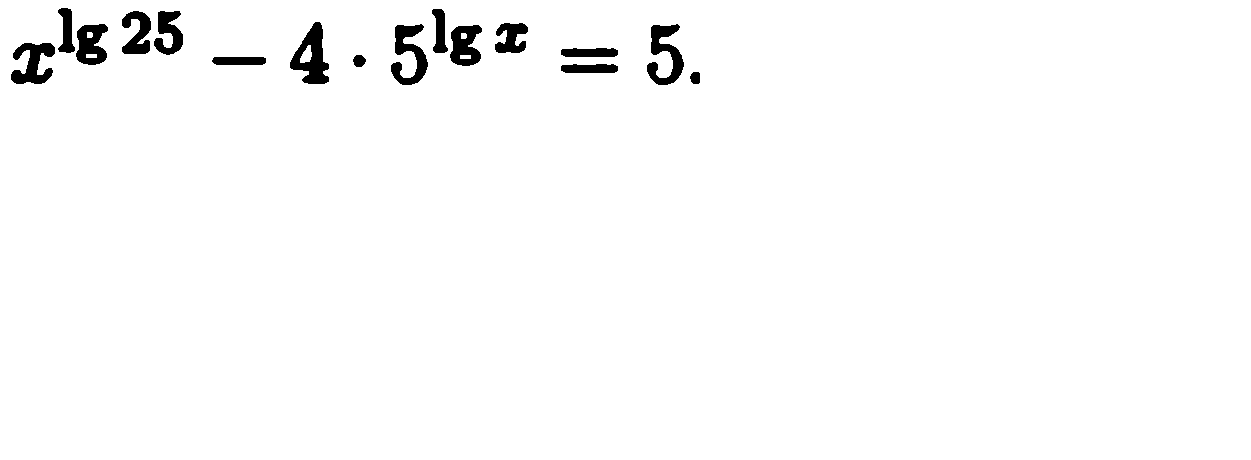
Логарифм.уравнение во вложениях

Приложения:

Ответы

Ответ дал: Катька2002
0

х-4*5=5

х-20=5

х=20+5

х=25

25-4*5=5

          5=5

Вас заинтересует