помогите составить краткую запись задачи
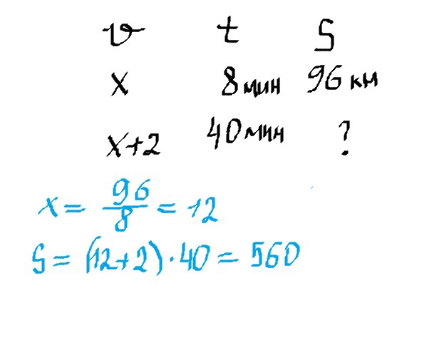
за 8 мин самолёт двигаясь с одинаковой скоростью пролетел 96км какое расстояние он пролетит за 40 мин если скорость его увеличится на 2км/мин?
Ответы
Ответ дал:
0
.............................
Приложения:

Вас заинтересует
2 года назад
7 лет назад
7 лет назад
10 лет назад
10 лет назад