• Предмет: Физика
  • Автор: nika18286682
  • Вопрос задан 10 лет назад

Решите пожалуйста и запишите дано.
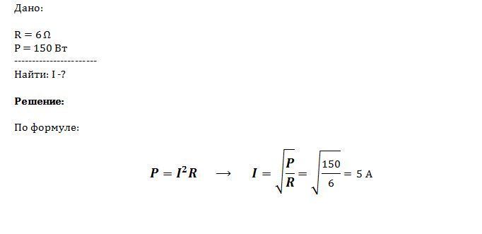
Мощность,отдаваемая динамику с сопротивлением 6(Ом) усилителем низкой частоты ,равна 150 Вт.Какой силы ток течет в динамике?

Ответы

Ответ дал: livres
0

Решение во вложении:

Приложения:
Вас заинтересует