• Предмет: Математика
  • Автор: Dzhuraeva
  • Вопрос задан 10 лет назад

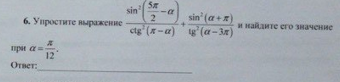
Упростите выражение(изображение прикреплено)

Приложения:

Ответа на этот вопрос пока нет. Попробуйте найти его через форму поиска.

Вас заинтересует