• Предмет: Алгебра
  • Автор: love67
  • Вопрос задан 11 лет назад

любые  две -три буквы 

 28 18   или в или г

28ю20 или в или г

28.21  или в или г

Приложения:

Ответы

Ответ дал: Gellik
0

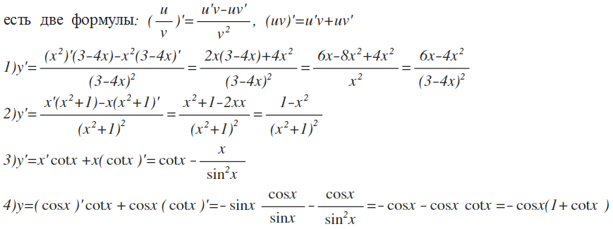
Решение во вложении.

 

Будут вопросы - обращайтесь;)

Приложения:
Ответ дал: palilov2436
0

решение смотри во вложении

Приложения:
Вас заинтересует