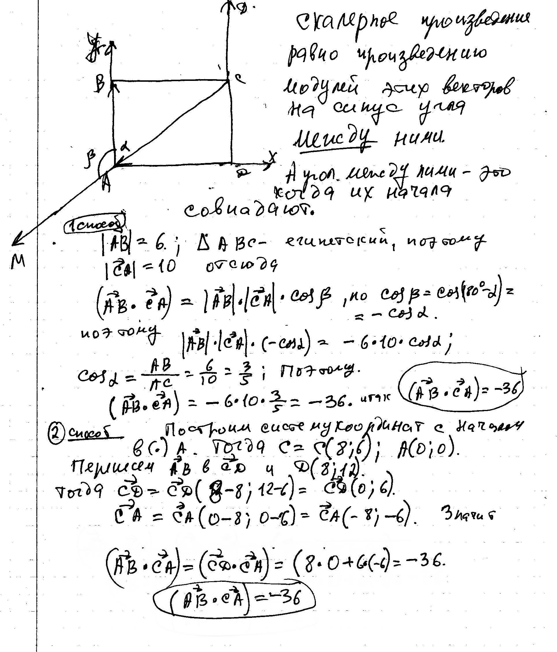
Дан прямоугольник ABCD со сторонами AB=6 и BC=8. Найдите скалярное произведение векторов AB • CA
помогите плизз
Ответы
Ответ дал:
0
Дан прямоугольник ABCD со сторонами AB=6 и BC=8. Найдите скалярное произведение векторов AB • CA
Приложения:

Вас заинтересует
2 года назад
2 года назад
7 лет назад
10 лет назад
10 лет назад