• Предмет: Алгебра
  • Автор: nastya13097827
  • Вопрос задан 10 лет назад

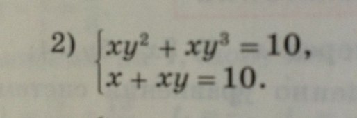
Решите пожалуйста! !!!!!!!!! СРОЧНО

Приложения:

Ответы

Ответ дал: чижiк
0
Решение смотри во вложении

Приложения:
Вас заинтересует