Применение производной для нахождения наибольших и наименьших значений величин. Помогите решить.
Приложения:
Ответы
Ответ дал:
0
РЕШЕНИЕ СМОТРИ ВО ВЛОЖЕНИИ
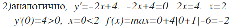
2)на отрезке[-2;1] ф-ия экстремума не имеет
Приложения:
Вас заинтересует
3 года назад
3 года назад
8 лет назад
8 лет назад
11 лет назад
11 лет назад
11 лет назад