• Предмет: Геометрия
  • Автор: ТатМих
  • Вопрос задан 10 лет назад

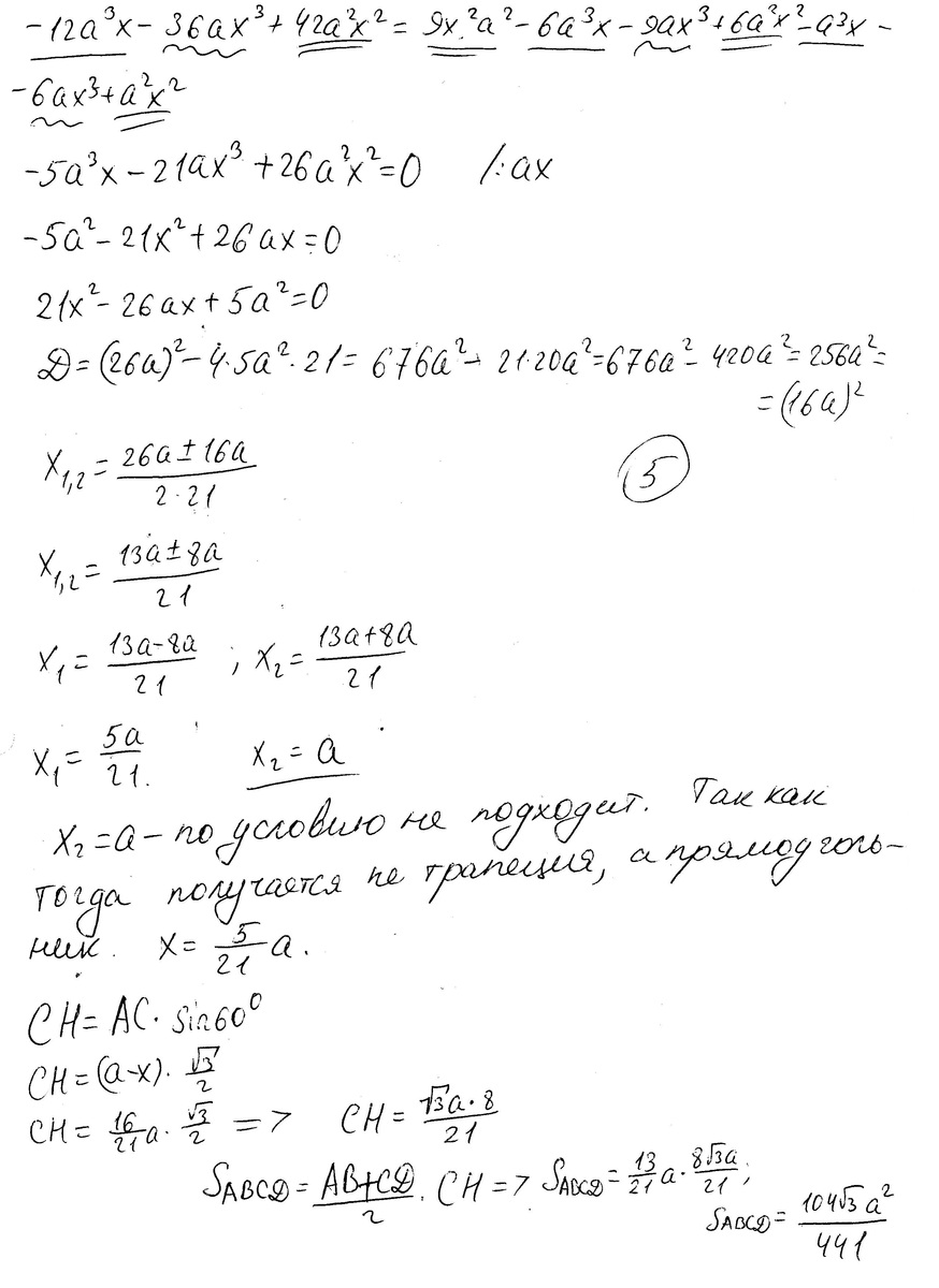
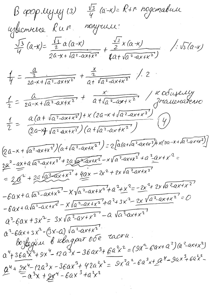
В равнобедренной трапеции ABCD основание АВ имеет длину а, угол А равен 60 градусам. Известно, что окружности, вписанные в треугольники АВС и АСD касаются. Найдите площадь трапеции.

ЗАДАНИЕ ОТ КЛУБА ЗНАТОКОВ
(подробное решение обязательно)

Ответы

Ответ дал: bearcab
0
Решение в приложении.
Приложения:
Вас заинтересует