• Предмет: Геометрия
  • Автор: диас41
  • Вопрос задан 10 лет назад

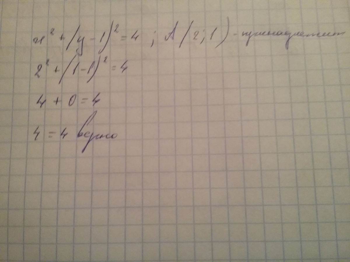
помогите упр 3 ..............

Приложения:

Ответы

Ответ дал: Килайла
0
крч надо просто потставить, как раз первая точка подходит)
Приложения:
Вас заинтересует